Backprop Notes

20 Dec 2025 - cohlem

See here and here for more detailed version. Most of the notes in this page was taken from the eli’s blog.

Chain rule and backprop notes

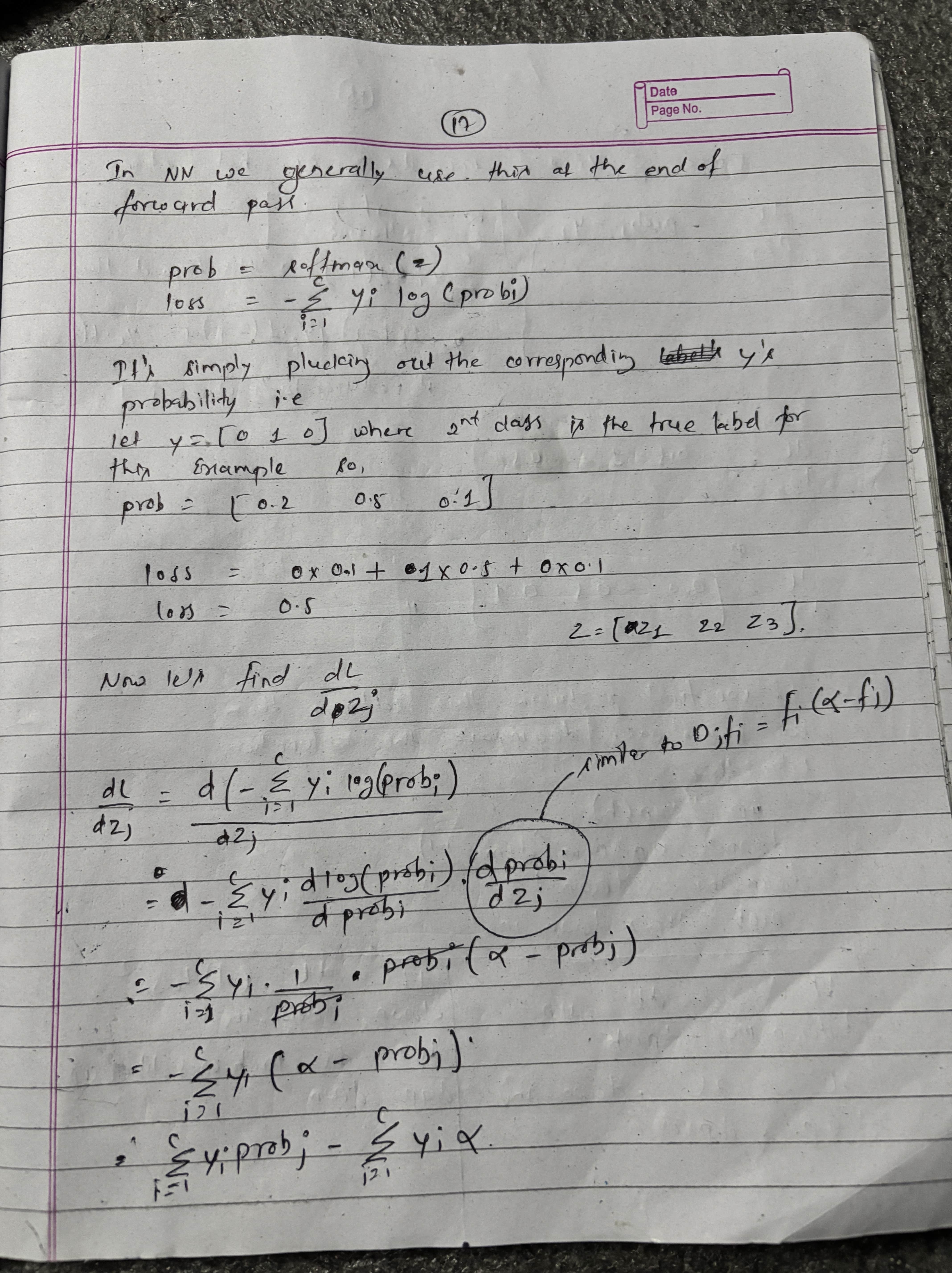
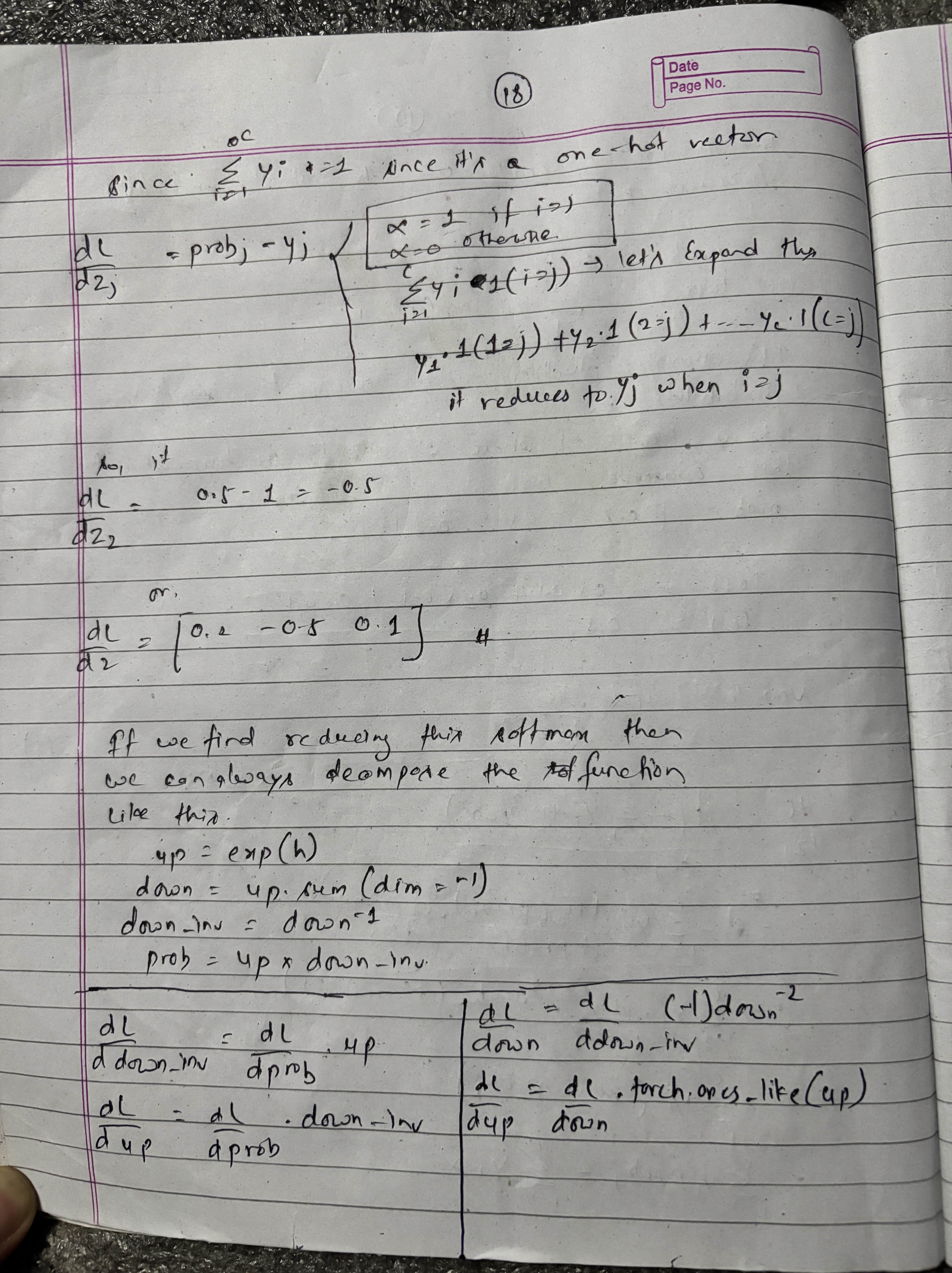
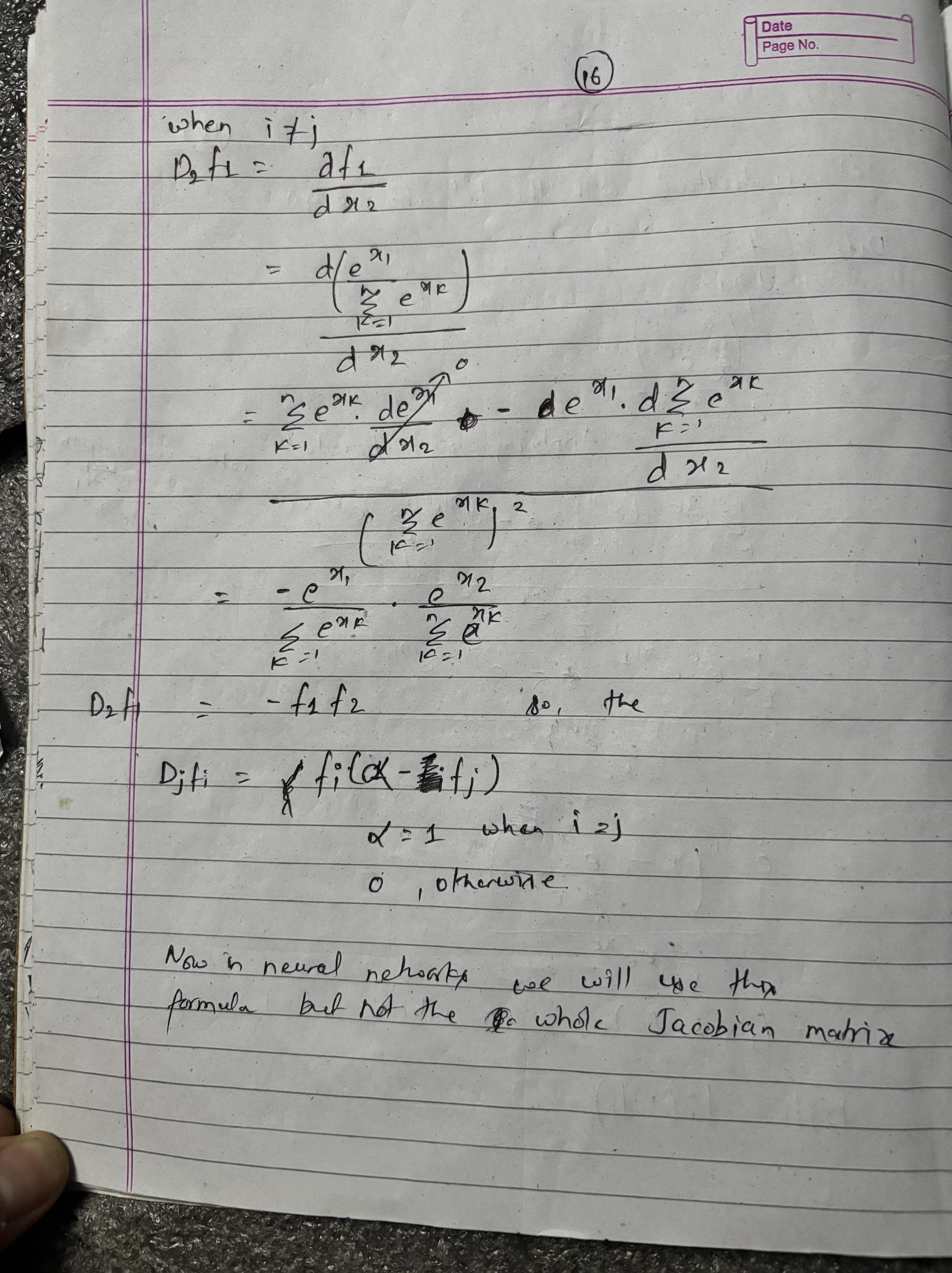
backprop1 backprop1 backprop1 backprop1 backprop1 backprop1 backprop1 backprop1 backprop1 backprop1 backprop1 backprop1 backprop1 backprop1 backprop1 backprop1 backprop1 backprop1 backprop1 backprop1 backprop1 backprop1